| Entry |
|
| Name |
4-coumaroyl-CoA:flavonol-3-O-[beta-D-glucosyl-(1->2)-beta-D-glucosyl-(1->2)-beta-D-glucoside] 6'''-O-4-coumaroyltransferase
|
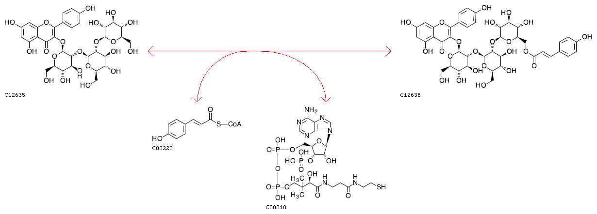
| Definition |
Kaempferol 3-sophorotrioside + p-Coumaroyl-CoA <=> Kaempferol 3-O-[6-(4-coumaroyl)-beta-D-glucosyl-(1->2)-beta-D-glucosyl-(1->2)-beta-D-glucoside] + CoA
|
| Equation |
|
|
 |
| Comment |
flavonol-3-O-triglucoside O-coumaroyltransferase
|
| Reaction class |
|
| Enzyme |
|
| Pathway |
| rn00944 | Flavone and flavonol biosynthesis |
| rn01110 | Biosynthesis of secondary metabolites |
|
| Brite |
Enzymatic reactions [BR:br08201]
2. Transferase reactions
2.3 Acyltransferases
2.3.1 Transferring groups other than aminoacyl groups
2.3.1.173
R06806 Kaempferol 3-sophorotrioside + p-Coumaroyl-CoA <=> Kaempferol 3-O-[6-(4-coumaroyl)-beta-D-glucosyl-(1->2)-beta-D-glucosyl-(1->2)-beta-D-glucoside] + CoA
|
| LinkDB |
|