| Entry |
|
| Name |
UDP-L-rhamnose:flavanone-7-O-glucoside 2''-O-alpha-L-rhamnosyltransferase
|
| Definition |
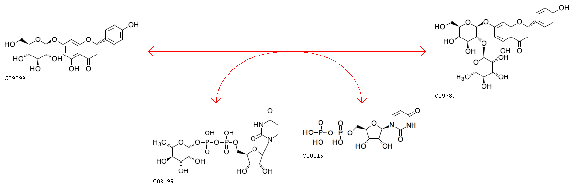
Naringenin 7-O-beta-D-glucoside + UDP-L-rhamnose <=> Naringin + UDP
|
| Equation |
|
|
 |
| Comment |
flavanone 7-O-glucoside 2''-O-beta-L-rhamnosyltransferase
|
| Reaction class |
|
| Enzyme |
|
| Pathway |
|
| Brite |
Enzymatic reactions [BR:br08201]
2. Transferase reactions
2.4 Glycosyltransferases
2.4.1 Hexosyltransferases
2.4.1.236
R06820 Naringenin 7-O-beta-D-glucoside + UDP-L-rhamnose <=> Naringin + UDP
IUBMB reaction hierarchy [BR:br08202]
2. Transferase reactions
2.4.1.236
R07337 Flavanone 7-O-beta-D-glucoside <=> Flavanone 7-O-[alpha-L-rhamnosyl-(1->2)-beta-D-glucoside]
R06820 Naringenin 7-O-beta-D-glucoside <=> Naringin
Glycosyltransferase reactions [br08203.html]
Other reactions
R06820
|
| Orthology |
| K13080 | flavanone 7-O-glucoside 2''-O-beta-L-rhamnosyltransferase [EC:2.4.1.236] |
|
| LinkDB |
|