KEGG   REACTION: R06978
Entry
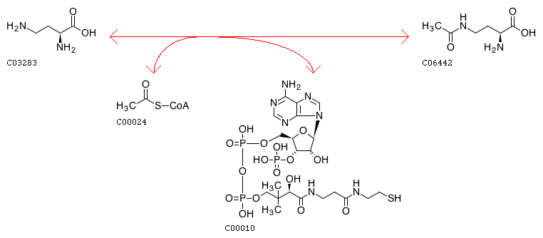
R06978                      Reaction                               
Name
acetyl-CoA:L-2,4-diaminobutanoate N4-acetyltransferase
Definition
L-2,4-Diaminobutanoate + Acetyl-CoA <=> N(gamma)-Acetyldiaminobutyrate + CoA
Equation
Comment
Ectoine biosynthesis reaction step2, EctA
Reaction class
RC00004  C00010_C00024
RC00096  C03283_C06442
Enzyme
Pathway
rn00260  Glycine, serine and threonine metabolism
rn01100  Metabolic pathways
rn01120  Microbial metabolism in diverse environments
Module
M00033  Ectoine biosynthesis, aspartate => ectoine
Brite
Enzymatic reactions [BR:br08201]
 2. Transferase reactions
  2.3  Acyltransferases
   2.3.1  Transferring groups other than aminoacyl groups
    2.3.1.178
     R06978  L-2,4-Diaminobutanoate + Acetyl-CoA <=> N(gamma)-Acetyldiaminobutyrate + CoA
Orthology
K06718  L-2,4-diaminobutyric acid acetyltransferase [EC:2.3.1.178]
Other DBs
RHEA: 16904
LinkDB

DBGET integrated database retrieval system