 | | REACTION: R07014 | |
| Entry |
|
| Name |
(1S,2R)-naphthalene 1,2-oxide hydrolase
|
| Definition |
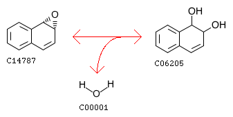
(1S,2R)-Naphthalene 1,2-oxide + H2O <=> 1,2-Dihydronaphthalene-1,2-diol
|
| Equation |
|
|
 |
| Reaction class |
|
| Enzyme |
|
| Pathway |
| rn00980 | Metabolism of xenobiotics by cytochrome P450 |
|
| Brite |
Enzymatic reactions [BR:br08201]
3. Hydrolase reactions
3.3 Acting on ether bonds
3.3.2 Ether hydrolases
3.3.2.9
R07014 (1S,2R)-Naphthalene 1,2-oxide + H2O <=> 1,2-Dihydronaphthalene-1,2-diol
|
| Orthology |
|
| LinkDB |
|
|
|