KEGG   REACTION: R07120
Entry
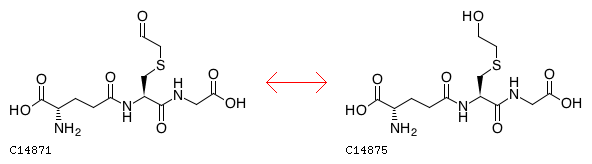
R07120                      Reaction                               
Definition
S-(Formylmethyl)glutathione <=> S-(2-Hydroxyethyl)glutathione
Equation
Comment
unclear reaction
Reaction class
RC00087  C14871_C14875
Pathway
rn00980  Metabolism of xenobiotics by cytochrome P450
LinkDB

DBGET integrated database retrieval system