KEGG   REACTION: R07124
Entry
R07124                      Reaction                               
Definition
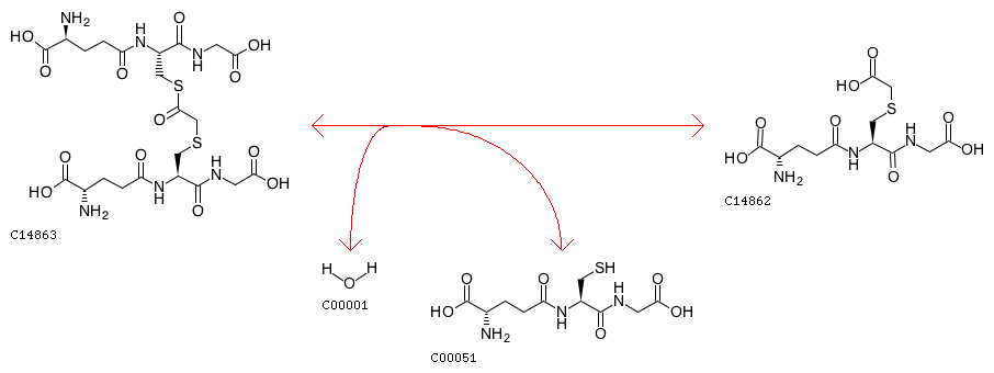
2-(S-Glutathionyl)acetyl glutathione + H2O <=> 2-S-Glutathionyl acetate + Glutathione
Equation
Comment
hydration
Reaction class
RC00004  C00051_C14863
RC00014  C14862_C14863
Pathway
rn00980  Metabolism of xenobiotics by cytochrome P450
LinkDB

DBGET integrated database retrieval system