KEGG   REACTION: R07192
Entry
R07192                      Reaction                               
Name
ketosteroid,NADPH:oxygen oxidoreductase (20-hydroxylating,ester-producing)
Definition
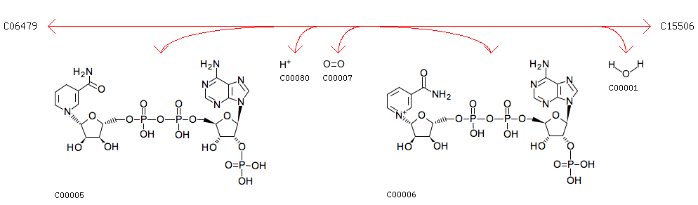
Ketosteroid + NADPH + H+ + Oxygen <=> Steroid ester + NADP+ + H2O
Equation
Reaction class
RC00001  C00005_C00006
Enzyme
Brite
Enzymatic reactions [BR:br08201]
 1. Oxidoreductase reactions
  1.14  Acting on paired donors, with incorporation or reduction of molecular oxygen
   1.14.13  With NADH or NADPH as one donor, and incorporation of one atom of oxygen into the other donor
    1.14.13.54
     R07192  Ketosteroid + NADPH + H+ + Oxygen <=> Steroid ester + NADP+ + H2O
LinkDB

DBGET integrated database retrieval system