REACTION: R07217
Help
Entry
R07217 Reaction
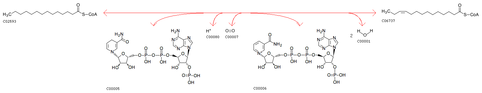
Name
n-tetradecanoyl-CoA,NADPH:O2 oxidoreductase [11-(Z) desaturating]
Definition
Tetradecanoyl-CoA + NADPH + H+ + Oxygen <=> (Z)-11-Tetradecenoyl-CoA + NADP+ + 2 H2O
Equation
C02593
+
C00005
+
C00080
+
C00007
<=>
C06737
+
C00006
+ 2
C00001
Reaction class
RC00001
C00005_C00006
RC00917
C02593_C06737
LinkDB
All DBs
DBGET
integrated database retrieval system