KEGG   REACTION: R07261
Entry
R07261                      Reaction                               
Name
NDP-glucose:1,4-alpha-D-glucan 4-alpha-D-glucosyltransferase
Definition
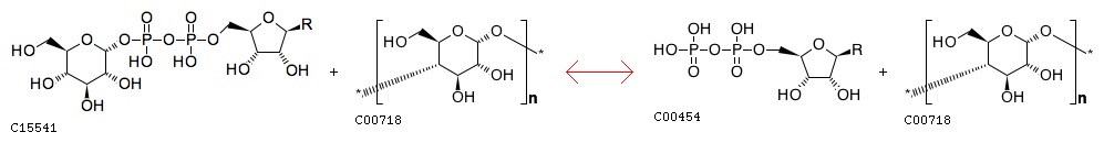
NDP-glucose + Amylose <=> NDP + Amylose
Equation
Reaction class
RC00005  C00454_C15541
Enzyme
Brite
Enzymatic reactions [BR:br08201]
 2. Transferase reactions
  2.4  Glycosyltransferases
   2.4.1  Hexosyltransferases
    2.4.1.242
     R07261  NDP-glucose + Amylose <=> NDP + Amylose
IUBMB reaction hierarchy [BR:br08202]
 2. Transferase reactions
  2.4.1.242
   R07261  NDP-glucose <=> NDP
Glycosyltransferase reactions [br08203.html]
 Glucosyltransferase reactions
  R07261
Other DBs
RHEA: 15876
LinkDB

DBGET integrated database retrieval system