KEGG   REACTION: R07340
Entry
R07340                      Reaction                               
Name
UDP-glucose:flavonol-3-O-beta-D-glucosyl-(1->2)-beta-D-glucoside 2'''-O-beta-D-glucosyltransferase
Definition
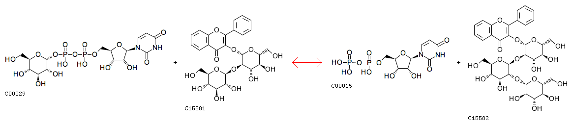
UDP-glucose + Flavonol 3-O-beta-D-glucosyl-(1->2)-beta-D-glucoside <=> UDP + Flavonol 3-O-beta-D-glucosyl-(1->2)-beta-D-glucosyl-(1->2)-beta-D-glucoside
Equation
Reaction class
RC00005  C00015_C00029
RC00049  C15581_C15582
Enzyme
Brite
Enzymatic reactions [BR:br08201]
 2. Transferase reactions
  2.4  Glycosyltransferases
   2.4.1  Hexosyltransferases
    2.4.1.240
     R07340  UDP-glucose + Flavonol 3-O-beta-D-glucosyl-(1->2)-beta-D-glucoside <=> UDP + Flavonol 3-O-beta-D-glucosyl-(1->2)-beta-D-glucosyl-(1->2)-beta-D-glucoside
IUBMB reaction hierarchy [BR:br08202]
 2. Transferase reactions
  2.4.1.240
   R07340  Flavonol 3-O-beta-D-glucosyl-(1->2)-beta-D-glucoside <=> Flavonol 3-O-beta-D-glucosyl-(1->2)-beta-D-glucosyl-(1->2)-beta-D-glucoside
Other DBs
RHEA: 23547
LinkDB

DBGET integrated database retrieval system