KEGG   REACTION: R07397
Entry
R07397                      Reaction                               
Name
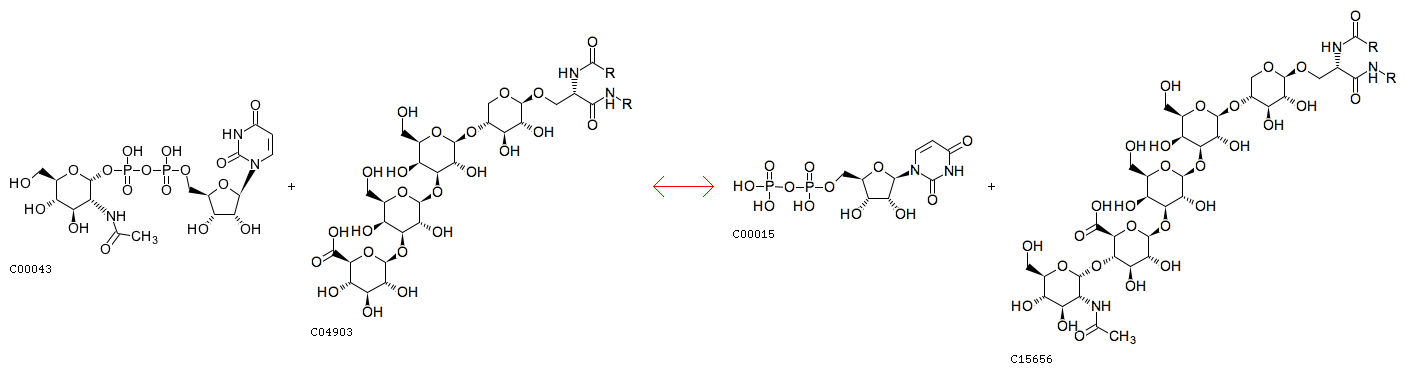
UDP-N-acetyl-D-glucosamine:beta-D-glucuronosyl-(1->3)-beta-D-galactosyl-(1->3)-beta-D-galactosyl-(1->4)-beta-D-xylosyl-proteoglycan;
4IV-alpha-N-acetyl-D-glucosaminyltransferase
Definition
UDP-N-acetyl-alpha-D-glucosamine + 3-beta-D-Glucuronosyl-3-beta-D-galactosyl-4-beta-D-galactosyl-O-beta-D-xylosylprotein <=> UDP + alpha-N-Acetyl-D-glucosaminyl-(1->4)-beta-D-glucuronosyl-(1->3)-beta-D-galactosyl-(1->3)-beta-D-galactosyl-(1->4)-beta-D-xylosylproteoglycan
Equation
Remark
Same as: R05930
Reaction class
RC00005  C00015_C00043
RC00049  C04903_C15656
Enzyme
Brite
Enzymatic reactions [BR:br08201]
 2. Transferase reactions
  2.4  Glycosyltransferases
   2.4.1  Hexosyltransferases
    2.4.1.223
     R07397  UDP-N-acetyl-alpha-D-glucosamine + 3-beta-D-Glucuronosyl-3-beta-D-galactosyl-4-beta-D-galactosyl-O-beta-D-xylosylprotein <=> UDP + alpha-N-Acetyl-D-glucosaminyl-(1->4)-beta-D-glucuronosyl-(1->3)-beta-D-galactosyl-(1->3)-beta-D-galactosyl-(1->4)-beta-D-xylosylproteoglycan
Other DBs
RHEA: 16224
LinkDB

DBGET integrated database retrieval system