| Entry |
|
| Name |
typhasterol,NADPH:oxygen oxidoreductase (2alpha-hydroxylating)
|
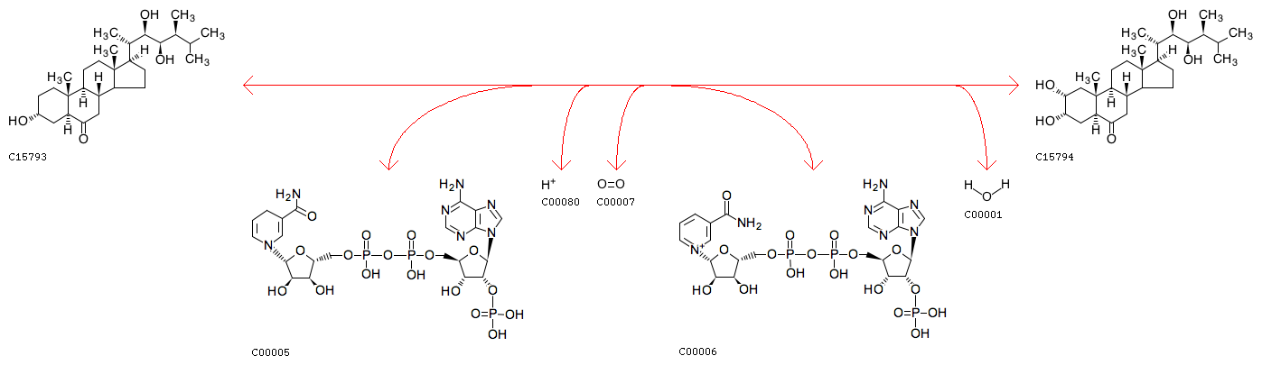
| Definition |
Typhasterol + NADPH + H+ + Oxygen <=> Castasterone + NADP+ + H2O
|
| Equation |
|
|
 |
| Reaction class |
|
| Enzyme |
1.14.-.-
|
| Pathway |
| rn00905 | Brassinosteroid biosynthesis |
| rn01110 | Biosynthesis of secondary metabolites |
|
| Brite |
Enzymatic reactions [BR:br08201]
1. Oxidoreductase reactions
1.14 Acting on paired donors, with incorporation or reduction of molecular oxygen
1.14.- Acting on paired donors, with incorporation or reduction of molecular oxygen
1.14.-.-
R07470 Typhasterol + NADPH + H+ + Oxygen <=> Castasterone + NADP+ + H2O
|
| Orthology |
| K20623 | typhasterol/6-deoxotyphasterol 2alpha-hydroxylase |
|
| LinkDB |
|