| Entry |
|
| Name |
L-2,4-diaminobutanoate carboxy-lyase
|
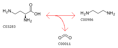
| Definition |
L-2,4-Diaminobutanoate <=> 1,3-Diaminopropane + CO2
|
| Equation |
|
|
 |
| Reaction class |
|
| Enzyme |
|
| Pathway |
| rn00260 | Glycine, serine and threonine metabolism |
| rn00975 | Biosynthesis of various siderophores |
| rn01110 | Biosynthesis of secondary metabolites |
| rn01120 | Microbial metabolism in diverse environments |
|
| Module |
| M01054 | Schizokinen biosynthesis, glutamate => schizokinen |
|
| Brite |
Enzymatic reactions [BR:br08201]
4. Lyase reactions
4.1 Carbon-carbon lyases
4.1.1 Carboxy-lyases
4.1.1.86
R07650 L-2,4-Diaminobutanoate <=> 1,3-Diaminopropane + CO2
|
| Orthology |
|
| Other DBs |
|
| LinkDB |
|