| Entry |
|
| Name |
4,4'-diaponeurosporenoate glucosyltransferase
|
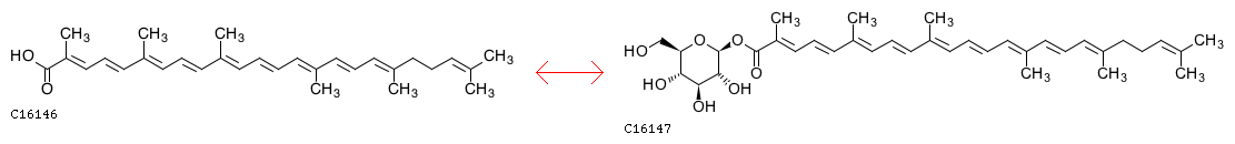
| Definition |
4,4'-Diaponeurosporenic acid <=> Glucosyl-4,4'-diaponeurosporenoate
|
| Equation |
|
|
 |
| Comment |
4,4'-diaponeurosporenoate glycosyltransferase(crtQ)
incomplete reaction (unidentified D-glucose donor)
|
| Reaction class |
|
| Enzyme |
2.4.1.-
|
| Pathway |
| rn01110 | Biosynthesis of secondary metabolites |
|
| Module |
| M01038 | Staphyloxanthin biosynthesis, bacteria, farnesyl-PP => staphyloxanthin |
|
| Brite |
Enzymatic reactions [BR:br08201]
2. Transferase reactions
2.4 Glycosyltransferases
2.4.1 Hexosyltransferases
2.4.1.-
R07655 4,4'-Diaponeurosporenic acid <=> Glucosyl-4,4'-diaponeurosporenoate
Glycosyltransferase reactions [br08203.html]
Glucosyltransferase reactions
R07655
|
| Orthology |
| K10211 | 4,4'-diaponeurosporenoate glycosyltransferase [EC:2.4.1.-] |
|
| LinkDB |
|