KEGG   REACTION: R07711
Entry
R07711                      Reaction                               
Definition
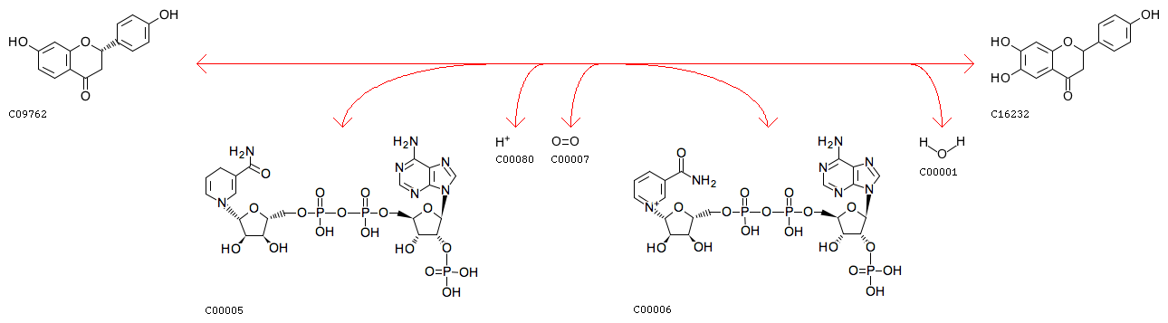
Liquiritigenin + NADPH + H+ + Oxygen <=> 6,7,4'-Trihydroxyflavanone + NADP+ + H2O
Equation
Comment
flavonoid 6-hydroxylase
Reaction class
RC00001  C00005_C00006
RC00046  C09762_C16232
Enzyme
1.14.13.-
Pathway
rn00943  Isoflavonoid biosynthesis
rn01110  Biosynthesis of secondary metabolites
Brite
Enzymatic reactions [BR:br08201]
 1. Oxidoreductase reactions
  1.14  Acting on paired donors, with incorporation or reduction of molecular oxygen
   1.14.13  With NADH or NADPH as one donor, and incorporation of one atom of oxygen into the other donor
    1.14.13.-
     R07711  Liquiritigenin + NADPH + H+ + Oxygen <=> 6,7,4'-Trihydroxyflavanone + NADP+ + H2O
Orthology
K13267  flavonoid 6-hydroxylase [EC:1.14.13.-]
LinkDB

DBGET integrated database retrieval system