KEGG   REACTION: R07731
Entry
R07731                      Reaction                               
Name
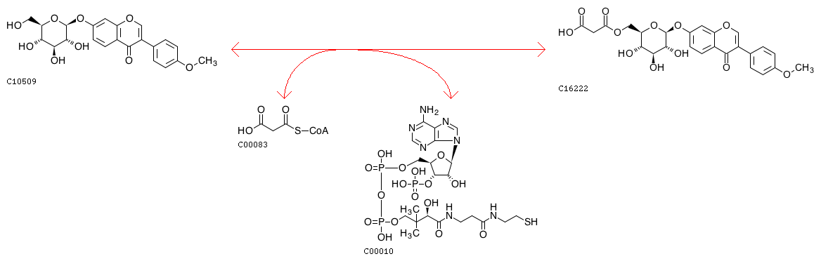
malonyl-CoA:isoflavone-7-O-beta-D-glucoside 6''-O-malonyltransferase
Definition
Ononin + Malonyl-CoA <=> Formononetin 7-O-(6-O-malonyl-beta-D-glucoside) + CoA
Equation
Reaction class
RC00004  C00010_C00083
RC00041  C10509_C16222
Enzyme
Pathway
rn00943  Isoflavonoid biosynthesis
Brite
Enzymatic reactions [BR:br08201]
 2. Transferase reactions
  2.3  Acyltransferases
   2.3.1  Transferring groups other than aminoacyl groups
    2.3.1.115
     R07731  Ononin + Malonyl-CoA <=> Formononetin 7-O-(6-O-malonyl-beta-D-glucoside) + CoA
Orthology
K13264  isoflavone 7-O-glucoside-6''-O-malonyltransferase [EC:2.3.1.115]
LinkDB

DBGET integrated database retrieval system