KEGG   REACTION: R07742
Entry
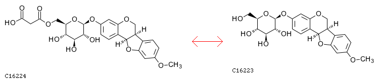
R07742                      Reaction                               
Definition
Medicarpin 3-O-glucoside-6'-malonate <=> (-)-Medicocarpin
Equation
Comment
isoflavone malonylglucoside malonylesterase
Reaction class
RC00041  C16223_C16224
Pathway
rn00943  Isoflavonoid biosynthesis
LinkDB

DBGET integrated database retrieval system