REACTION: R07758
Help
Entry
R07758 Reaction
Definition
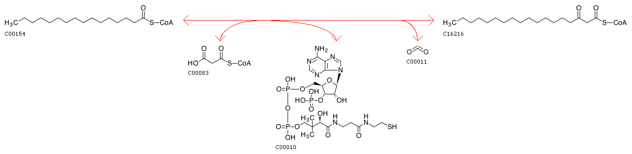
Malonyl-CoA + Palmitoyl-CoA <=> 3-Oxostearoyl-CoA + CoA + CO2
Equation
C00083
+
C00154
<=>
C16216
+
C00010
+
C00011
Reaction class
RC00004
C00010_C00154
RC02728
C00154_C16216
RC02888
C00083_C16216
Enzyme
2.3.1.199
Pathway
rn01040
Biosynthesis of unsaturated fatty acids
rn01212
Fatty acid metabolism
Brite
Enzymatic reactions [BR:
br08201
]
2. Transferase reactions
2.3 Acyltransferases
2.3.1 Transferring groups other than aminoacyl groups
2.3.1.199
R07758 Malonyl-CoA + Palmitoyl-CoA <=> 3-Oxostearoyl-CoA + CoA + CO2
BRITE hierarchy
Orthology
K10203
elongation of very long chain fatty acids protein 6 [EC:
2.3.1.199
]
K10245
fatty acid elongase 2 [EC:
2.3.1.199
]
K10246
fatty acid elongase 3 [EC:
2.3.1.199
]
LinkDB
All DBs
DBGET
integrated database retrieval system