KEGG   REACTION: R07820
Entry
R07820                      Reaction                               
Definition
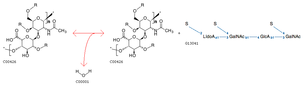
Dermatan sulfate + H2O <=> Dermatan sulfate + G13041
Equation
Enzyme
3.2.-.-
Pathway
rn00531  Glycosaminoglycan degradation
rn01100  Metabolic pathways
Module
M00076  Dermatan sulfate degradation
Brite
Enzymatic reactions [BR:br08201]
 3. Hydrolase reactions
  3.2  Glycosylases
   3.2.-  Glycosylases
    3.2.-.-
     R07820  Dermatan sulfate + H2O <=> Dermatan sulfate + G13041
LinkDB

DBGET integrated database retrieval system