Entry |
|
Name |
hydroxycinnamoyl-CoA:anthocyanidin 3,5-diglucoside 5-O-glucoside-6'''-O-hydroxycinnamoyltransferase
|
Definition |
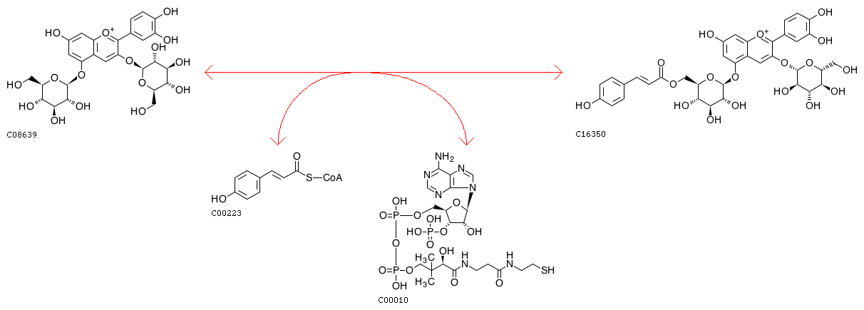
Cyanidin 3,5-O-diglucoside + p-Coumaroyl-CoA <=> Cyanidin 3-O-beta-D-glucoside 5-O-(6-coumaroyl-beta-D-glucoside) + CoA
|
Equation |
|
|
 |
Reaction class |
|
Enzyme |
|
Pathway |
|
Brite |
Enzymatic reactions [BR:br08201]
2. Transferase reactions
2.3 Acyltransferases
2.3.1 Transferring groups other than aminoacyl groups
2.3.1.153
R07882 Cyanidin 3,5-O-diglucoside + p-Coumaroyl-CoA <=> Cyanidin 3-O-beta-D-glucoside 5-O-(6-coumaroyl-beta-D-glucoside) + CoA
IUBMB reaction hierarchy [BR:br08202]
2. Transferase reactions
2.3.1.153
R05163 Anthocyanidin-3,5-diglucoside <=> Anthocyanidin 3-glucoside-5-hydroxycinnamoylglucoside
R07882 Cyanidin 3,5-O-diglucoside <=> Cyanidin 3-O-beta-D-glucoside 5-O-(6-coumaroyl-beta-D-glucoside)
|
Orthology |
|
LinkDB |
|