KEGG   REACTION: R08036
Entry
R08036                      Reaction                               
Name
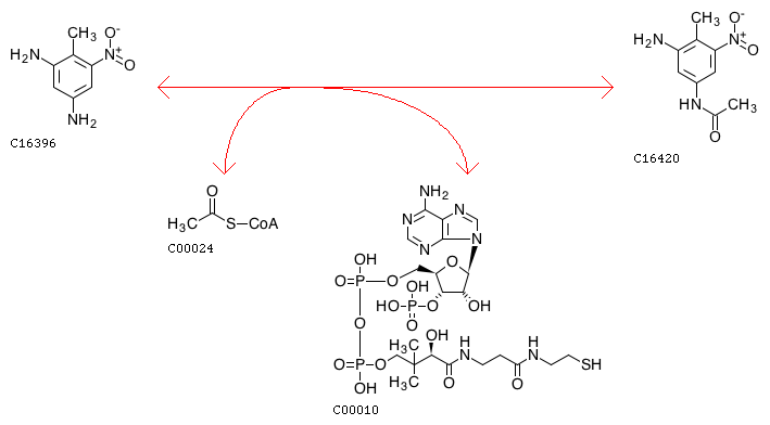
acetyl-CoA:2,4-diamino-6-nitrotoluene N-acetyltransferase
Definition
2,4-Diamino-6-nitrotoluene + Acetyl-CoA <=> 4-Acetamido-2-amino-6-nitrotoluene + CoA
Equation
Reaction class
RC00004  C00010_C00024
RC00416  C16396_C16420
Enzyme
Pathway
rn00633  Nitrotoluene degradation
rn01120  Microbial metabolism in diverse environments
Brite
Enzymatic reactions [BR:br08201]
 2. Transferase reactions
  2.3  Acyltransferases
   2.3.1  Transferring groups other than aminoacyl groups
    2.3.1.5
     R08036  2,4-Diamino-6-nitrotoluene + Acetyl-CoA <=> 4-Acetamido-2-amino-6-nitrotoluene + CoA
Orthology
K00622  arylamine N-acetyltransferase [EC:2.3.1.5]
LinkDB

DBGET integrated database retrieval system