KEGG   REACTION: R08178
Entry
R08178                      Reaction                               
Definition
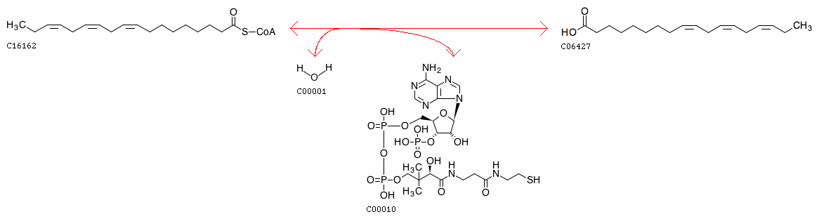
(9Z,12Z,15Z)-Octadecatrienoyl-CoA + H2O <=> CoA + (9Z,12Z,15Z)-Octadecatrienoic acid
Equation
Reaction class
RC00004  C00010_C16162
RC00014  C06427_C16162
Enzyme
Pathway
rn01040  Biosynthesis of unsaturated fatty acids
Brite
Enzymatic reactions [BR:br08201]
 3. Hydrolase reactions
  3.1  Acting on ester bonds
   3.1.2  Thioester hydrolases
    3.1.2.2
     R08178  (9Z,12Z,15Z)-Octadecatrienoyl-CoA + H2O <=> CoA + (9Z,12Z,15Z)-Octadecatrienoic acid
Orthology
K01068  acyl-coenzyme A thioesterase 1/2/4 [EC:3.1.2.2]
K17360  acyl-coenzyme A thioesterase 7 [EC:3.1.2.2]
LinkDB

DBGET integrated database retrieval system