KEGG   REACTION: R08181
Entry
R08181                      Reaction                               
Definition
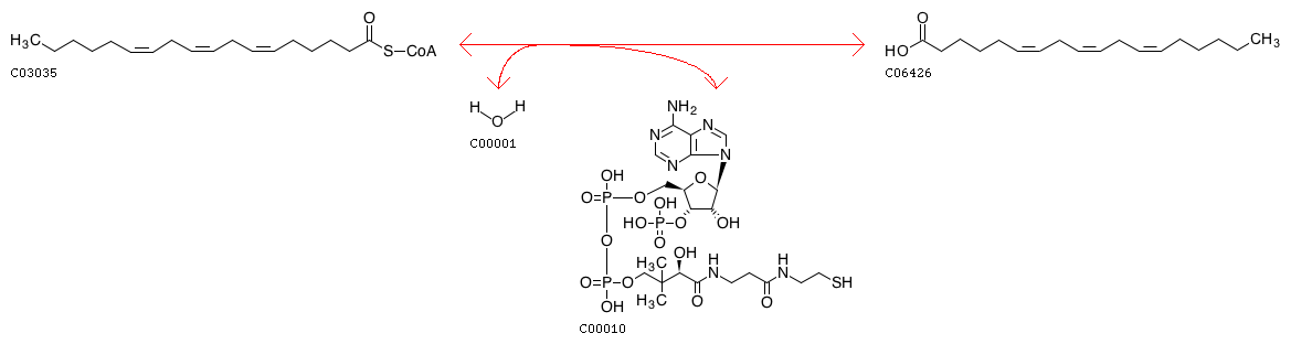
gamma-Linolenoyl-CoA + H2O <=> CoA + (6Z,9Z,12Z)-Octadecatrienoic acid
Equation
Reaction class
RC00004  C00010_C03035
RC00014  C03035_C06426
Enzyme
Pathway
rn01040  Biosynthesis of unsaturated fatty acids
Brite
Enzymatic reactions [BR:br08201]
 3. Hydrolase reactions
  3.1  Acting on ester bonds
   3.1.2  Thioester hydrolases
    3.1.2.2
     R08181  gamma-Linolenoyl-CoA + H2O <=> CoA + (6Z,9Z,12Z)-Octadecatrienoic acid
Orthology
K01068  acyl-coenzyme A thioesterase 1/2/4 [EC:3.1.2.2]
K17360  acyl-coenzyme A thioesterase 7 [EC:3.1.2.2]
LinkDB

DBGET integrated database retrieval system