KEGG   REACTION: R08182
Entry
R08182                      Reaction                               
Definition
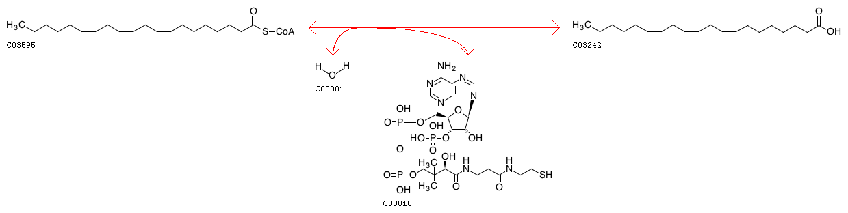
8,11,14-Eicosatrienoyl-CoA + H2O <=> CoA + Dihomo-gamma-linolenate
Equation
Reaction class
RC00004  C00010_C03595
RC00014  C03242_C03595
Enzyme
Pathway
rn01040  Biosynthesis of unsaturated fatty acids
Brite
Enzymatic reactions [BR:br08201]
 3. Hydrolase reactions
  3.1  Acting on ester bonds
   3.1.2  Thioester hydrolases
    3.1.2.2
     R08182  8,11,14-Eicosatrienoyl-CoA + H2O <=> CoA + Dihomo-gamma-linolenate
Orthology
K01068  acyl-coenzyme A thioesterase 1/2/4 [EC:3.1.2.2]
LinkDB

DBGET integrated database retrieval system