KEGG   REACTION: R08183
Entry
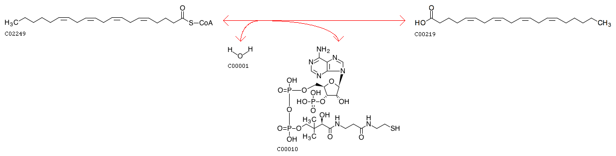
R08183                      Reaction                               
Definition
Arachidonyl-CoA + H2O <=> CoA + Arachidonate
Equation
Reaction class
RC00004  C00010_C02249
RC00014  C00219_C02249
Enzyme
Pathway
rn01040  Biosynthesis of unsaturated fatty acids
Brite
Enzymatic reactions [BR:br08201]
 3. Hydrolase reactions
  3.1  Acting on ester bonds
   3.1.2  Thioester hydrolases
    3.1.2.2
     R08183  Arachidonyl-CoA + H2O <=> CoA + Arachidonate
Orthology
K01068  acyl-coenzyme A thioesterase 1/2/4 [EC:3.1.2.2]
LinkDB

DBGET integrated database retrieval system