| Entry |
|
| Name |
N-acetyl-D-glucosamine 1-phosphate 1,6-phosphomutase
|
| Definition |
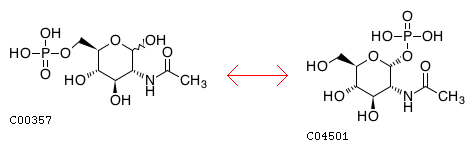
N-Acetyl-D-glucosamine 6-phosphate <=> N-Acetyl-alpha-D-glucosamine 1-phosphate
|
| Equation |
|
|
 |
| Comment |
intermediate (see [CPD: C04461])
|
| Reaction class |
|
| Enzyme |
|
| Pathway |
| rn00520 | Amino sugar and nucleotide sugar metabolism |
| rn01250 | Biosynthesis of nucleotide sugars |
|
| Module |
| M00892 | UDP-GlcNAc biosynthesis, eukaryotes, Fru-6P => UDP-GlcNAc |
| M01003 | UDP-GlcNAc biosynthesis, GlcNAc => UDP-GlcNAc |
|
| Brite |
Enzymatic reactions [BR:br08201]
5. Isomerase reactions
5.4 Intramolecular transferases
5.4.2 Phosphotransferases (phosphomutases)
5.4.2.3
R08193 N-Acetyl-D-glucosamine 6-phosphate <=> N-Acetyl-alpha-D-glucosamine 1-phosphate
|
| Orthology |
|
| Other DBs |
|
| LinkDB |
|