KEGG   REACTION: R08270
Entry
R08270                      Reaction                               
Definition
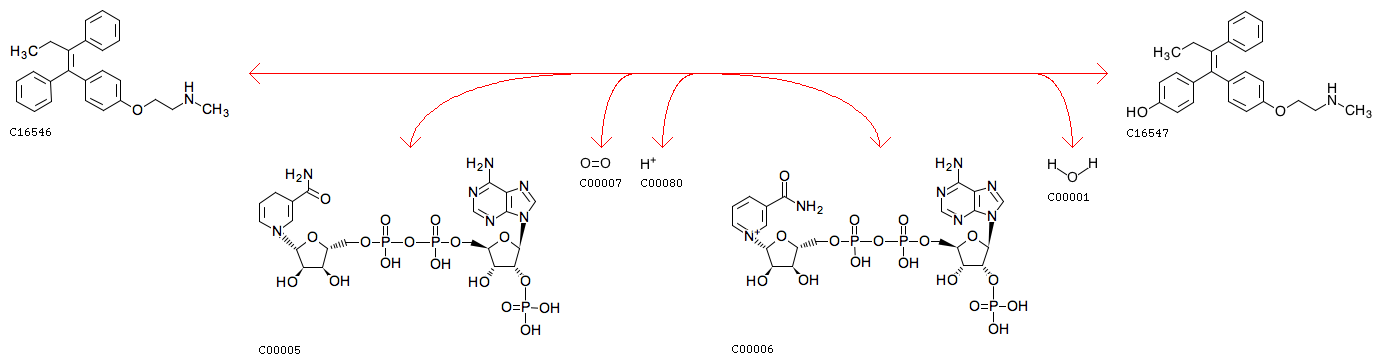
N-Desmethyltamoxifen + NADPH + Oxygen + H+ <=> Endoxifen + NADP+ + H2O
Equation
Comment
CYP2D6
Reaction class
RC00001  C00005_C00006
RC00490  C16546_C16547
Enzyme
Pathway
rn00982  Drug metabolism - cytochrome P450
Brite
Enzymatic reactions [BR:br08201]
 1. Oxidoreductase reactions
  1.14  Acting on paired donors, with incorporation or reduction of molecular oxygen
   1.14.14  With reduced flavin or flavoprotein as one donor, and incorporation of one atom of oxygen into the other donor
    1.14.14.1
     R08270  N-Desmethyltamoxifen + NADPH + Oxygen + H+ <=> Endoxifen + NADP+ + H2O
Orthology
K17712  cytochrome P450 family 2 subfamily D6 [EC:1.14.14.1]
LinkDB

DBGET integrated database retrieval system