KEGG   REACTION: R08273
Entry
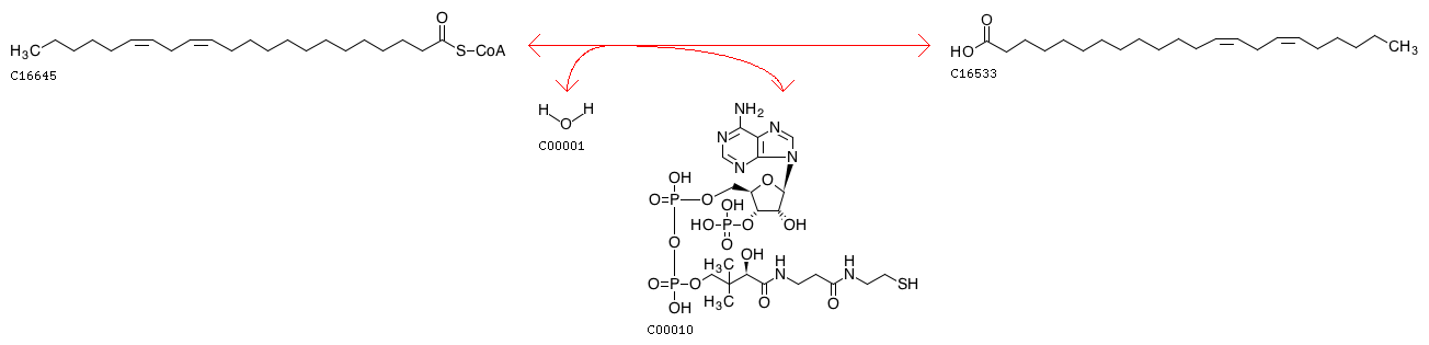
R08273                      Reaction                               
Definition
(13Z,16Z)-Docosadienoyl-CoA + H2O <=> CoA + (13Z,16Z)-Docosadienoic acid
Equation
Reaction class
RC00004  C00010_C16645
RC00014  C16533_C16645
Enzyme
3.1.2.-
Pathway
rn01040  Biosynthesis of unsaturated fatty acids
Brite
Enzymatic reactions [BR:br08201]
 3. Hydrolase reactions
  3.1  Acting on ester bonds
   3.1.2  Thioester hydrolases
    3.1.2.-
     R08273  (13Z,16Z)-Docosadienoyl-CoA + H2O <=> CoA + (13Z,16Z)-Docosadienoic acid
LinkDB

DBGET integrated database retrieval system