KEGG   REACTION: R08376
Entry
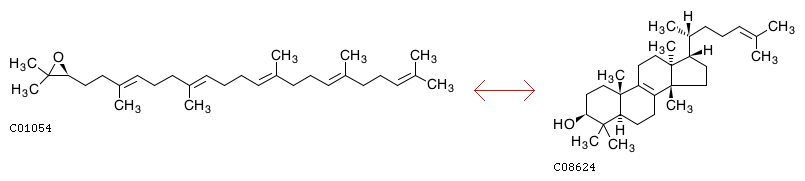
R08376                      Reaction                               
Definition
(S)-2,3-Epoxysqualene <=> Euphol
Equation
Comment
possibly similar to R03199
Reaction class
RC00874  C01054_C08624
Pathway
rn00996  Biosynthesis of various alkaloids
LinkDB

DBGET integrated database retrieval system