KEGG   REACTION: R08483
Entry
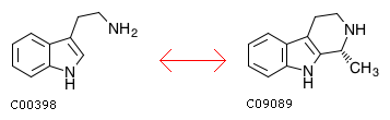
R08483                      Reaction                               
Definition
Tryptamine <=> Calligonine
Equation
Comment
incomplete reaction
Reaction class
RC01568  C00398_C09089
Pathway
rn00901  Indole alkaloid biosynthesis
LinkDB

DBGET integrated database retrieval system