KEGG   REACTION: R08695
Entry
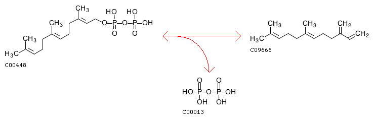
R08695                      Reaction                               
Name
(2E,6E)-farnesyl-diphosphate diphosphate-lyase [(E)-beta-farnesene-forming];
trans,trans-farnesyl-diphosphate diphosphate-lyase (beta-farnesene-forming)
Definition
trans,trans-Farnesyl diphosphate <=> beta-Farnesene + Diphosphate
Equation
Reaction class
RC00637  C00448_C09666
Enzyme
Pathway
rn00909  Sesquiterpenoid and triterpenoid biosynthesis
rn01110  Biosynthesis of secondary metabolites
Brite
Enzymatic reactions [BR:br08201]
 4. Lyase reactions
  4.2  Carbon-oxygen lyases
   4.2.3  Acting on phosphates
    4.2.3.47
     R08695  trans,trans-Farnesyl diphosphate <=> beta-Farnesene + Diphosphate
Orthology
K12645  epi-isozizaene 5-monooxygenase / beta-farnesene synthase [EC:1.14.15.39 4.2.3.47]
K14174  beta-farnesene/exo-alpha-bergamotene synthase [EC:4.2.3.47 4.2.3.81]
K15793  acyclic sesquiterpene synthase [EC:4.2.3.49 4.2.3.47 3.1.7.6]
K22064  beta-farnesene synthase [EC:4.2.3.47]
Other DBs
RHEA: 27428
LinkDB

DBGET integrated database retrieval system