REACTION: R08797
Help
Entry
R08797 Reaction
Definition
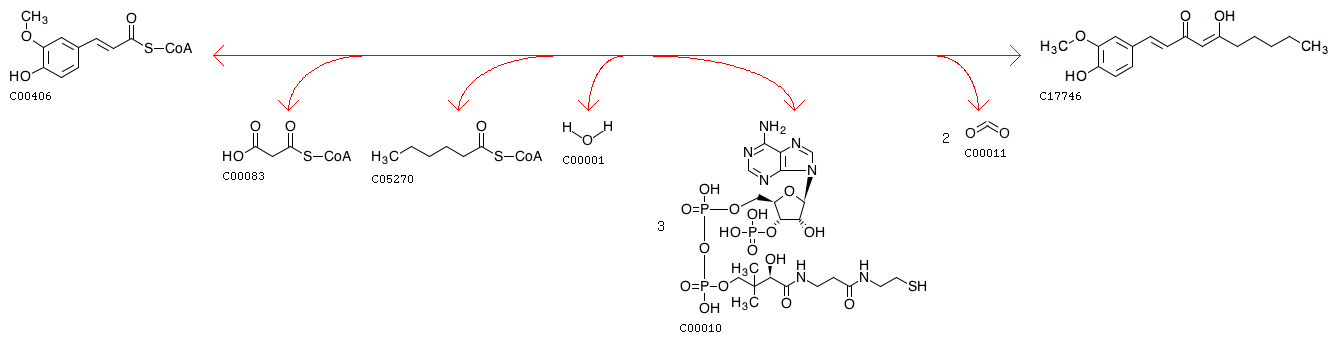
Feruloyl-CoA + Malonyl-CoA + Hexanoyl-CoA + H2O <=> 1-Dehydro-[6]-gingerdione + 3 CoA + 2 CO2
Equation
C00406
+
C00083
+
C05270
+
C00001
<=>
C17746
+ 3
C00010
+ 2
C00011
Comment
several steps reaction
polyketide synthase(s)
Reaction class
RC00004
C00010_C00083 C00010_C00406 C00010_C05270
RC02969
C00406_C17746
Pathway
rn00945
Stilbenoid, diarylheptanoid and gingerol biosynthesis
rn01110
Biosynthesis of secondary metabolites
LinkDB
All DBs
DBGET
integrated database retrieval system