KEGG   REACTION: R08861
Entry
R08861                      Reaction                               
Definition
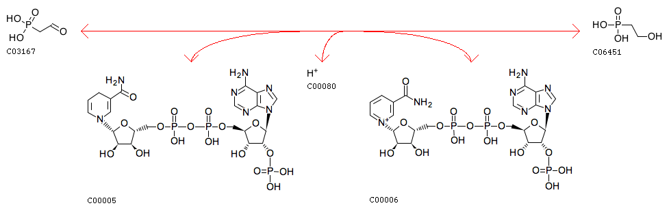
Phosphonoacetaldehyde + NADPH + H+ <=> 2-Hydroxyethylphosphonate + NADP+
Equation
Comment
PnAA reductase
Reaction class
RC00001  C00005_C00006
RC00087  C03167_C06451
Pathway
rn00440  Phosphonate and phosphinate metabolism
rn00998  Biosynthesis of various antibiotics
rn01100  Metabolic pathways
rn01110  Biosynthesis of secondary metabolites
Module
M00903  Fosfomycin biosynthesis, phosphoenolpyruvate => fosfomycin
Orthology
K12901  phosphonoacetaldehyde reductase
LinkDB

DBGET integrated database retrieval system