KEGG   REACTION: R08869
Entry
R08869                      Reaction                               
Name
carboxyphosphonopyruvate carboxy-lyase
Definition
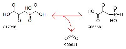
Carboxyphosphonopyruvate <=> 3-(Hydrohydroxyphosphoryl)pyruvate + CO2
Equation
Comment
the second step of two-step reaction (see R05165, R08868+R08869)
following after R08868
Reaction class
RC02374  C06368_C17946
Enzyme
Brite
Enzymatic reactions [BR:br08201]
 2. Transferase reactions
  2.7  Transferring phosphorus-containing groups
   2.7.8  Transferases for other substituted phosphate groups
    2.7.8.23
     R08869  Carboxyphosphonopyruvate <=> 3-(Hydrohydroxyphosphoryl)pyruvate + CO2
Orthology
K12909  carboxyvinyl-carboxyphosphonate phosphorylmutase [EC:2.7.8.23]
LinkDB

DBGET integrated database retrieval system