| Entry |
|
| Name |
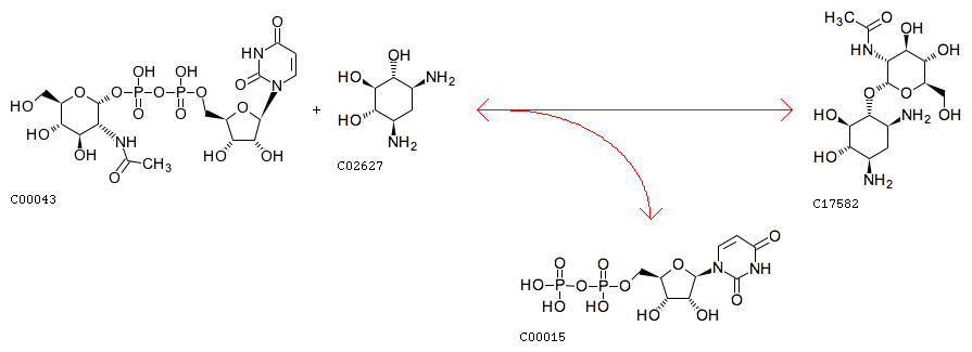
UDP-N-acetyl-alpha-D-glucosamine:2-deoxystreptamine N-acetyl-D-glucosaminyltransferase
|
| Definition |
UDP-N-acetyl-alpha-D-glucosamine + 2-Deoxystreptamine <=> UDP + 2'-N-Acetylparomamine
|
| Equation |
|
|
 |
| Reaction class |
|
| Enzyme |
|
| Pathway |
| rn00524 | Neomycin, kanamycin and gentamicin biosynthesis |
| rn01110 | Biosynthesis of secondary metabolites |
|
| Brite |
Enzymatic reactions [BR:br08201]
2. Transferase reactions
2.4 Glycosyltransferases
2.4.1 Hexosyltransferases
2.4.1.283
R08894 UDP-N-acetyl-alpha-D-glucosamine + 2-Deoxystreptamine <=> UDP + 2'-N-Acetylparomamine
|
| Orthology |
| K13550 | 2-deoxystreptamine N-acetyl-D-glucosaminyltransferase / 2-deoxystreptamine glucosyltransferase [EC:2.4.1.283 2.4.1.284] |
|
| Other DBs |
|
| LinkDB |
|