| Entry |
|
| Name |
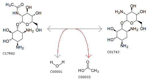
2'-N-acetylparomamine hydrolase (acetate-forming)
|
| Definition |
2'-N-Acetylparomamine + H2O <=> Paromamine + Acetate
|
| Equation |
|
|
 |
| Reaction class |
|
| Enzyme |
|
| Pathway |
| rn00524 | Neomycin, kanamycin and gentamicin biosynthesis |
| rn01110 | Biosynthesis of secondary metabolites |
|
| Brite |
Enzymatic reactions [BR:br08201]
3. Hydrolase reactions
3.5 Acting on carbon-nitrogen bonds, other than peptide bonds
3.5.1 In linear amides
3.5.1.112
R08895 2'-N-Acetylparomamine + H2O <=> Paromamine + Acetate
|
| Orthology |
|
| Reference |
|
| Authors |
Truman AW, Huang F, Llewellyn NM, Spencer JB |
| Title |
Characterization of the enzyme BtrD from Bacillus circulans and revision of its functional assignment in the biosynthesis of butirosin. |
| Journal |
|
| Other DBs |
|
| LinkDB |
|