| Entry |
|
| Name |
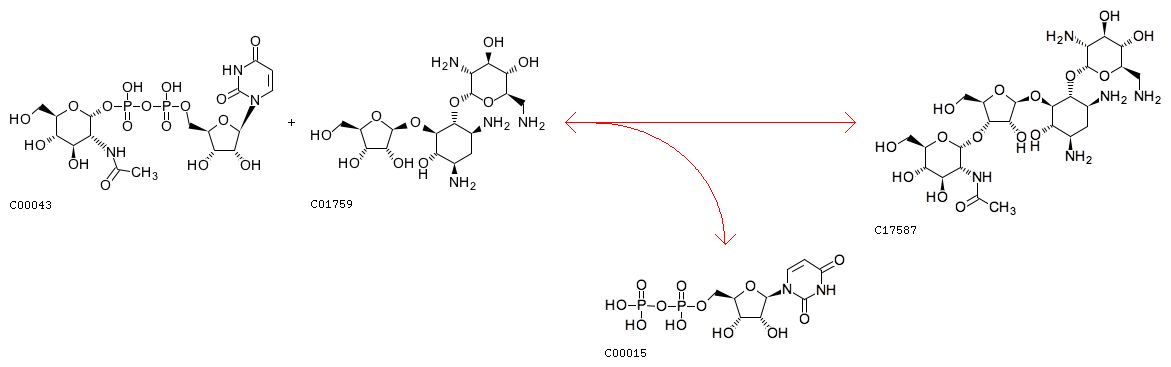
UDP-N-acetyl-alpha-D-glucosamine:ribostamycin N-acetyl-D-glucosaminyltransferase
|
| Definition |
UDP-N-acetyl-alpha-D-glucosamine + Ribostamycin <=> UDP + 2'''-N-Acetyl-6'''-deamino-6'''-hydroxyneomycin C
|
| Equation |
|
|
 |
| Reaction class |
|
| Enzyme |
|
| Pathway |
| rn00524 | Neomycin, kanamycin and gentamicin biosynthesis |
| rn01110 | Biosynthesis of secondary metabolites |
|
| Brite |
Enzymatic reactions [BR:br08201]
2. Transferase reactions
2.4 Glycosyltransferases
2.4.1 Hexosyltransferases
2.4.1.285
R08900 UDP-N-acetyl-alpha-D-glucosamine + Ribostamycin <=> UDP + 2'''-N-Acetyl-6'''-deamino-6'''-hydroxyneomycin C
|
| Orthology |
| K13556 | UDP-N-acetyl-D-glucosamine:ribostamycin N-acetyl-D-glucosaminyltransferase [EC:2.4.1.285] |
|
| Other DBs |
|
| LinkDB |
|