KEGG   REACTION: R08901
Entry
R08901                      Reaction                               
Name
2'''-acetyl-6'''-hydroxyneomycin-C hydrolase (acetate-forming)
Definition
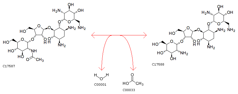
2'''-N-Acetyl-6'''-deamino-6'''-hydroxyneomycin C + H2O <=> 6'''-Deamino-6'''-hydroxyneomycin C + Acetate
Equation
Reaction class
RC00166  C17587_C17588
RC00300  C00033_C17587
Enzyme
Pathway
rn00524  Neomycin, kanamycin and gentamicin biosynthesis
rn01110  Biosynthesis of secondary metabolites
Brite
Enzymatic reactions [BR:br08201]
 3. Hydrolase reactions
  3.5  Acting on carbon-nitrogen bonds, other than peptide bonds
   3.5.1  In linear amides
    3.5.1.113
     R08901  2'''-N-Acetyl-6'''-deamino-6'''-hydroxyneomycin C + H2O <=> 6'''-Deamino-6'''-hydroxyneomycin C + Acetate
Orthology
K17078  2'-N-acetylparomamine deacetylase / 2'''-acetyl-6'''-hydroxyneomycin deacetylase [EC:3.5.1.112 3.5.1.113]
Reference
1  [PMID:17226887]
  Authors
Truman AW, Huang F, Llewellyn NM, Spencer JB
  Title
Characterization of the enzyme BtrD from Bacillus circulans and revision of its functional assignment in the biosynthesis of butirosin.
  Journal
Angew Chem Int Ed Engl 46:1462-4 (2007)
DOI:10.1002/anie.200604194
Other DBs
RHEA: 34054
LinkDB

DBGET integrated database retrieval system