KEGG   REACTION: R08943
Entry
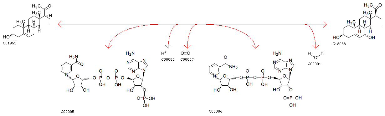
R08943                      Reaction                               
Name
pregnenolone,NADPH:oxygen oxidoreductase (7alpha-hydroxylating)
Definition
Pregnenolone + NADPH + H+ + Oxygen <=> 7alpha-Hydroxypregnenolone + NADP+ + H2O
Equation
Reaction class
RC00001  C00005_C00006
RC00524  C01953_C18038
Enzyme
Pathway
rn00140  Steroid hormone biosynthesis
Brite
Enzymatic reactions [BR:br08201]
 1. Oxidoreductase reactions
  1.14  Acting on paired donors, with incorporation or reduction of molecular oxygen
   1.14.14  With reduced flavin or flavoprotein as one donor, and incorporation of one atom of oxygen into the other donor
    1.14.14.29
     R08943  Pregnenolone + NADPH + H+ + Oxygen <=> 7alpha-Hydroxypregnenolone + NADP+ + H2O
Orthology
K07430  25/26-hydroxycholesterol 7alpha-hydroxylase [EC:1.14.14.29]
LinkDB

DBGET integrated database retrieval system