KEGG   REACTION: R08999
Entry
R08999                      Reaction                               
Definition
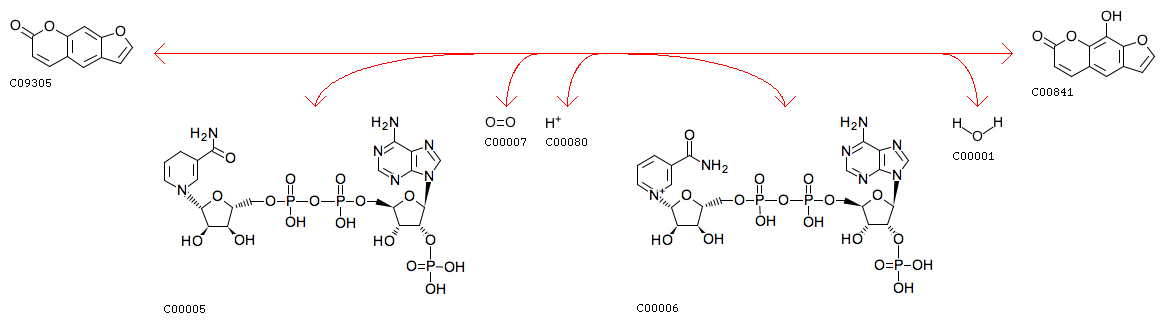
Psoralen + NADPH + Oxygen + H+ <=> Xanthotoxol + NADP+ + H2O
Equation
Comment
psoralen 8-monooxygenase
Reaction class
RC00001  C00005_C00006
Enzyme
1.14.14.-
Pathway
rn00999  Biosynthesis of various plant secondary metabolites
rn01110  Biosynthesis of secondary metabolites
Brite
Enzymatic reactions [BR:br08201]
 1. Oxidoreductase reactions
  1.14  Acting on paired donors, with incorporation or reduction of molecular oxygen
   1.14.14  With reduced flavin or flavoprotein as one donor, and incorporation of one atom of oxygen into the other donor
    1.14.14.-
     R08999  Psoralen + NADPH + Oxygen + H+ <=> Xanthotoxol + NADP+ + H2O
Orthology
K25523  cytochrome P450 family 71 subfamily AZ [EC:1.14.14.-]
Reference
1  [PMID:19098286]
  Authors
Larbat R, Hehn A, Hans J, Schneider S, Jugde H, Schneider B, Matern U, Bourgaud F
  Title
Isolation and functional characterization of CYP71AJ4 encoding for the first P450 monooxygenase of angular furanocoumarin biosynthesis.
  Journal
J Biol Chem 284:4776-85 (2009)
DOI:10.1074/jbc.M807351200
Reference
2  [PMID:29971079]
  Authors
Krieger C, Roselli S, Kellner-Thielmann S, Galati G, Schneider B, Grosjean J, Olry A, Ritchie D, Matern U, Bourgaud F, Hehn A.
  Title
The CYP71AZ P450 Subfamily: A Driving Factor for the Diversification of Coumarin  Biosynthesis in Apiaceous Plants.
  Journal
Front Plant Sci 9:820 (2018)
DOI:10.3389/fpls.2018.00820
LinkDB

DBGET integrated database retrieval system