| Entry |
|
| Name |
2,4-dichloro-3-oxoadipate:NADP+ oxidoreductase
|
| Definition |
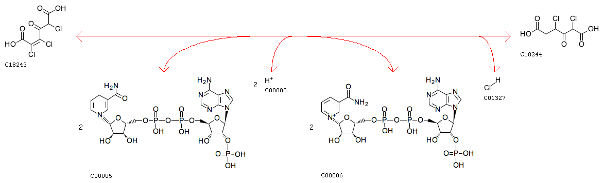
2,3,5-Trichloromaleylacetate + 2 NADPH + 2 H+ <=> 2,4-Dichloro-3-oxoadipate + 2 NADP+ + Hydrochloric acid
|
| Equation |
|
|
 |
| Reaction class |
|
| Enzyme |
|
| Pathway |
| rn00361 | Chlorocyclohexane and chlorobenzene degradation |
| rn01120 | Microbial metabolism in diverse environments |
|
| Brite |
Enzymatic reactions [BR:br08201]
1. Oxidoreductase reactions
1.3 Acting on the CH-CH group of donors
1.3.1 With NAD+ or NADP+ as acceptor
1.3.1.32
R09138 2,3,5-Trichloromaleylacetate + 2 NADPH + 2 H+ <=> 2,4-Dichloro-3-oxoadipate + 2 NADP+ + Hydrochloric acid
|
| Orthology |
|
| LinkDB |
|