KEGG   REACTION: R09277
Entry
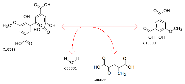
R09277                      Reaction                               
Name
4-[2-(5-carboxy-2-hydroxy-3-methoxyphenyl)-2-oxoethylidene]-2-hydroxy-2-pentenedioate 5-carboxy-2-hydroxy-3-methoxybenzoylhydrolase
Definition
4-[2-(5-Carboxy-2-hydroxy-3-methoxyphenyl)-2-oxoethylidene]-2-hydroxy-2-pentenedioate + H2O <=> 5-Carboxyvanillic acid + 4-Methylene-2-oxoglutarate
Equation
Comment
hydrolase, ligY
Reaction class
RC00757  C18338_C18349
RC02478  C06035_C18349
Pathway
rn00627  Aminobenzoate degradation
rn01120  Microbial metabolism in diverse environments
Orthology
K15062  OH-DDVA meta-cleavage compound hydrolase
LinkDB

DBGET integrated database retrieval system