KEGG   REACTION: R09307
Entry
R09307                      Reaction                               
Definition
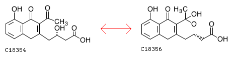
(S)-Chiral alcohol <=> (S)-Hemiketal
Equation
Reaction class
RC02484  C18354_C18356
Pathway
rn01057  Biosynthesis of type II polyketide products
rn01100  Metabolic pathways
rn01110  Biosynthesis of secondary metabolites
Module
M00779  Dihydrokalafungin biosynthesis, octaketide => dihydrokalafungin
Orthology
K05556  ketoreductase RED1 [EC:1.1.1.-]
LinkDB

DBGET integrated database retrieval system