KEGG   REACTION: R09346
Entry
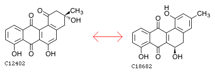
R09346                      Reaction                               
Definition
Rabelomycin <=> 11-Deoxylandomycinone
Equation
Comment
bifunctional oxygenase-reductase, lndM2
Reaction class
RC02489  C12402_C18682
Pathway
rn01057  Biosynthesis of type II polyketide products
rn01110  Biosynthesis of secondary metabolites
Orthology
K15930  bifunctional oxygenase/reductase
LinkDB

DBGET integrated database retrieval system