KEGG   REACTION: R09361
Entry
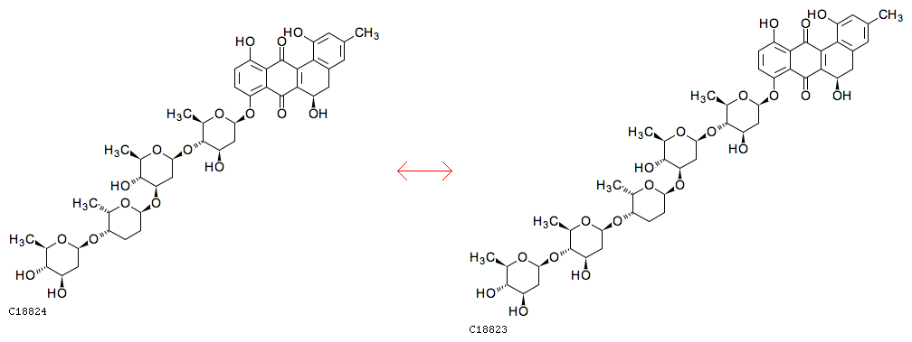
R09361                      Reaction                               
Definition
Landomycin J <=> Landomycin B
Equation
Comment
iteratively acting D-olivosyltransferase, lanGT1 (also R09348)
Reaction class
RC00049  C18823_C18824
Pathway
rn01057  Biosynthesis of type II polyketide products
Orthology
K15934  D-olivosyltransferase
Reference
1  [PMID:16039521]
  Authors
Luzhetskyy A, Fedoryshyn M, Durr C, Taguchi T, Novikov V, Bechthold A.
  Title
Iteratively acting glycosyltransferases involved in the hexasaccharide biosynthesis of landomycin A.
  Journal
Chem Biol 12:725-9 (2005)
DOI:10.1016/j.chembiol.2005.05.008
LinkDB

DBGET integrated database retrieval system