KEGG   REACTION: R09389
Entry
R09389                      Reaction                               
Name
(S)-limonene,NADPH:oxygen oxidoreductase
Definition
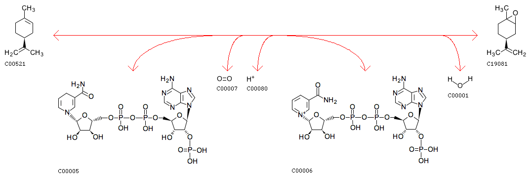
(S)-Limonene + NADPH + Oxygen + H+ <=> (4S)-Limonene-1,2-epoxide + NADP+ + H2O
Equation
Comment
NADH (see R09385)
Reaction class
RC00001  C00005_C00006
RC01506  C00521_C19081
Enzyme
Pathway
rn00903  Limonene degradation
rn01120  Microbial metabolism in diverse environments
Brite
Enzymatic reactions [BR:br08201]
 1. Oxidoreductase reactions
  1.14  Acting on paired donors, with incorporation or reduction of molecular oxygen
   1.14.13  With NADH or NADPH as one donor, and incorporation of one atom of oxygen into the other donor
    1.14.13.107
     R09389  (S)-Limonene + NADPH + Oxygen + H+ <=> (4S)-Limonene-1,2-epoxide + NADP+ + H2O
Orthology
K14733  limonene 1,2-monooxygenase [EC:1.14.13.107]
Other DBs
RHEA: 26088
LinkDB

DBGET integrated database retrieval system