KEGG   REACTION: R09404
Entry
R09404                      Reaction                               
Definition
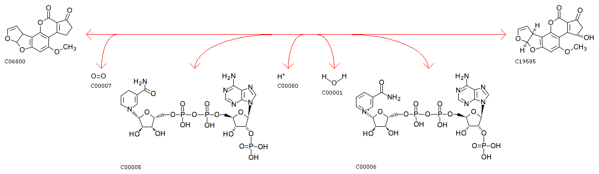
Aflatoxin B1 + Oxygen + NADPH + H+ <=> Aflatoxin Q1 + H2O + NADP+
Equation
Comment
CYP3A4/5
Reaction class
RC00001  C00005_C00006
RC00277  C06800_C19585
Enzyme
1.14.14.1       1.14.14.-
Pathway
rn00980  Metabolism of xenobiotics by cytochrome P450
Brite
Enzymatic reactions [BR:br08201]
 1. Oxidoreductase reactions
  1.14  Acting on paired donors, with incorporation or reduction of molecular oxygen
   1.14.14  With reduced flavin or flavoprotein as one donor, and incorporation of one atom of oxygen into the other donor
    1.14.14.1
     R09404  Aflatoxin B1 + Oxygen + NADPH + H+ <=> Aflatoxin Q1 + H2O + NADP+
    1.14.14.-
     R09404  Aflatoxin B1 + Oxygen + NADPH + H+ <=> Aflatoxin Q1 + H2O + NADP+
Orthology
K17689  cytochrome P450 family 3 subfamily A4 [EC:1.14.13.32 1.14.14.55 1.14.14.56 1.14.14.57 1.14.14.73 1.14.14.-]
K17690  cytochrome P450 family 3 subfamily A5 [EC:1.14.14.1]
LinkDB

DBGET integrated database retrieval system