KEGG   REACTION: R09414
Entry
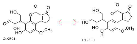
R09414                      Reaction                               
Definition
1,2,3,4-Tetrahydro-alpha,7-dihydroxy-beta-(hydroxymethyl)-9-methoxy-3,4-dioxocyclopenta[c][1]benzopyran-6-propanal <=> 6-[2,3-Dihydroxy-1-(hydroxymethyl)propyl]-1,2-dihydro-7-hydroxy-9-methoxy-cyclopenta[c][1]benzopyran-3,4-dione
Equation
Comment
aflatoxin B1-aldehyde reductase; AKR7A2/3
Reaction class
RC00099  C19590_C19591
Pathway
rn00980  Metabolism of xenobiotics by cytochrome P450
Orthology
K15303  aflatoxin B1 aldehyde reductase
LinkDB

DBGET integrated database retrieval system