KEGG   REACTION: R09606
Entry
R09606                      Reaction                               
Name
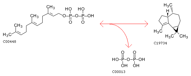
(2E,6E)-farnesyl-diphosphate diphosphate-lyase [(-)-alpha-gurjunene-forming]
Definition
trans,trans-Farnesyl diphosphate <=> (-)-alpha-Gurjunene + Diphosphate
Equation
Reaction class
RC02576  C00448_C19734
Enzyme
Brite
Enzymatic reactions [BR:br08201]
 4. Lyase reactions
  4.2  Carbon-oxygen lyases
   4.2.3  Acting on phosphates
    4.2.3.72
     R09606  trans,trans-Farnesyl diphosphate <=> (-)-alpha-Gurjunene + Diphosphate
Other DBs
RHEA: 29510
LinkDB

DBGET integrated database retrieval system