KEGG   REACTION: R09621
Entry
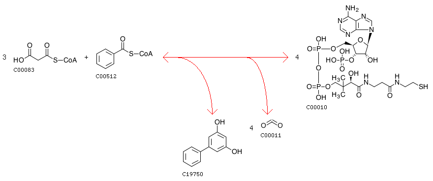
R09621                      Reaction                               
Name
malonyl-CoA:benzoyl-CoA malonyltransferase (cyclizing)
Definition
3 Malonyl-CoA + Benzoyl-CoA <=> 4 CoA + 3,5-Dihydroxybiphenyl + 4 CO2
Equation
3 C00083 + C00512 <=> 4 C00010 + C19750 + 4 C00011
Comment
multi-step reaction
Reaction class
RC00004  C00010_C00083  C00010_C00512
Enzyme
Brite
Enzymatic reactions [BR:br08201]
 2. Transferase reactions
  2.3  Acyltransferases
   2.3.1  Transferring groups other than aminoacyl groups
    2.3.1.177
     R09621  3 Malonyl-CoA + Benzoyl-CoA <=> 4 CoA + 3,5-Dihydroxybiphenyl + 4 CO2
Other DBs
RHEA: 22295
LinkDB

DBGET integrated database retrieval system